Muhabir: Burak Altıntaş
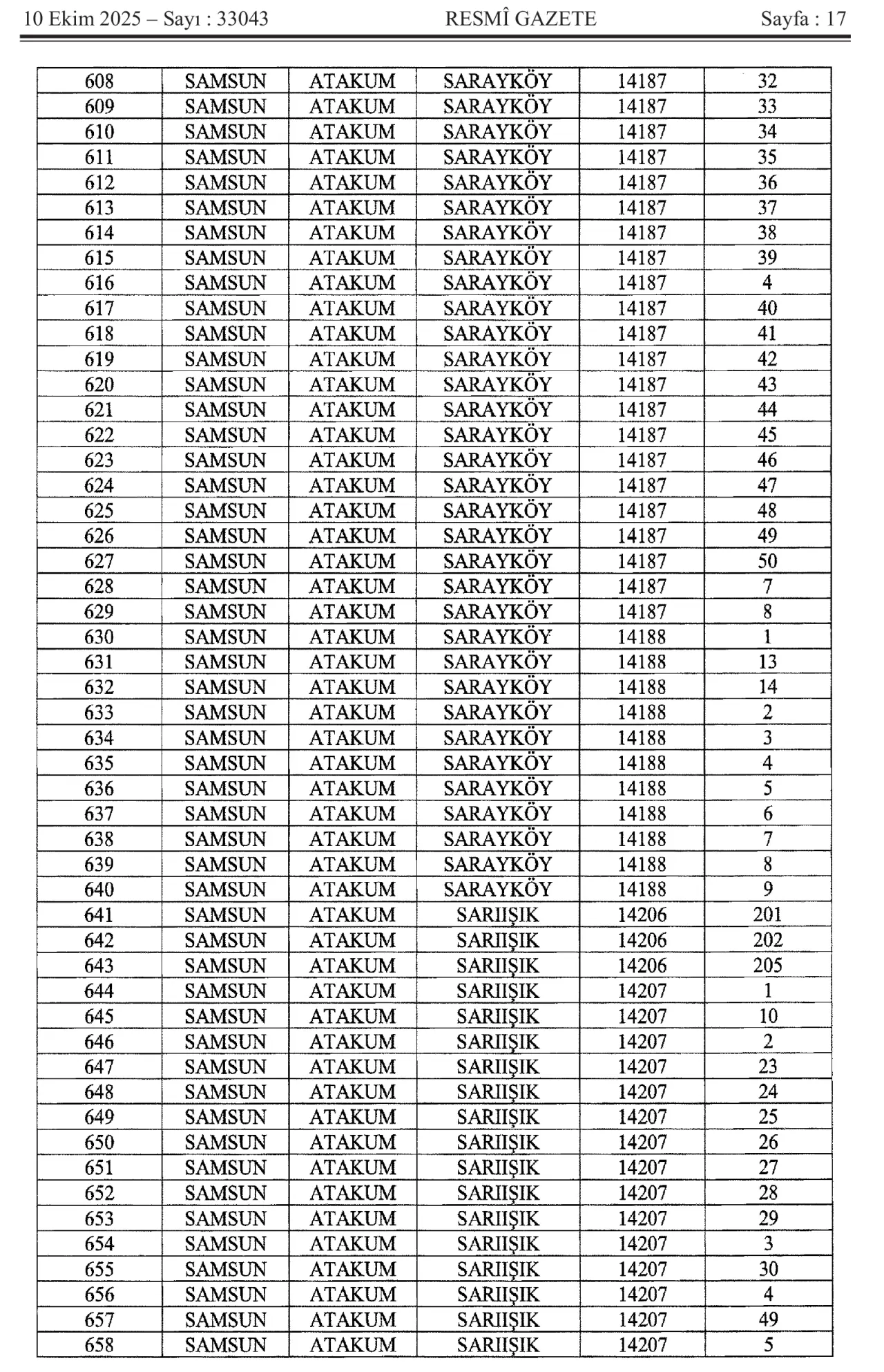
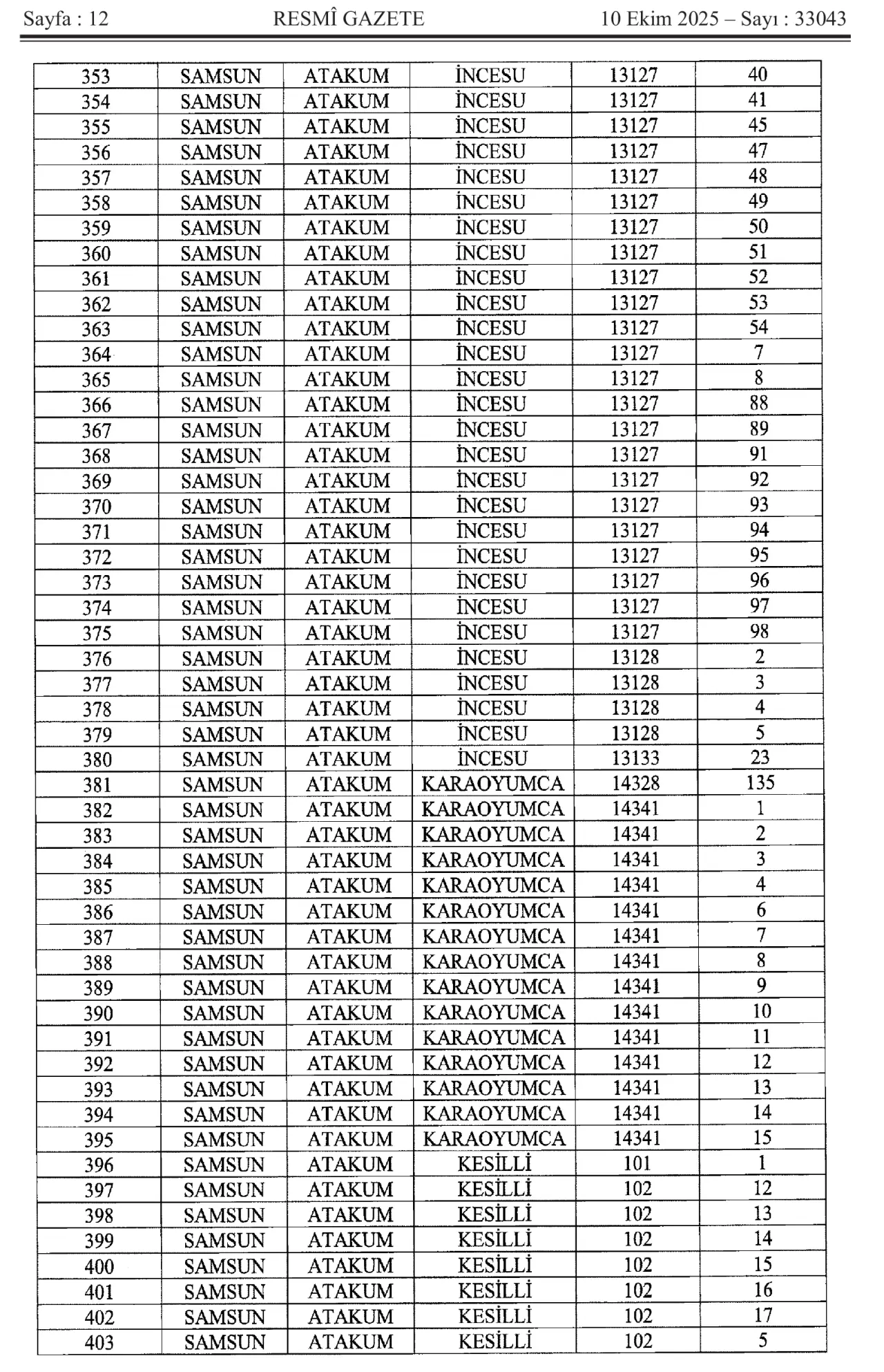
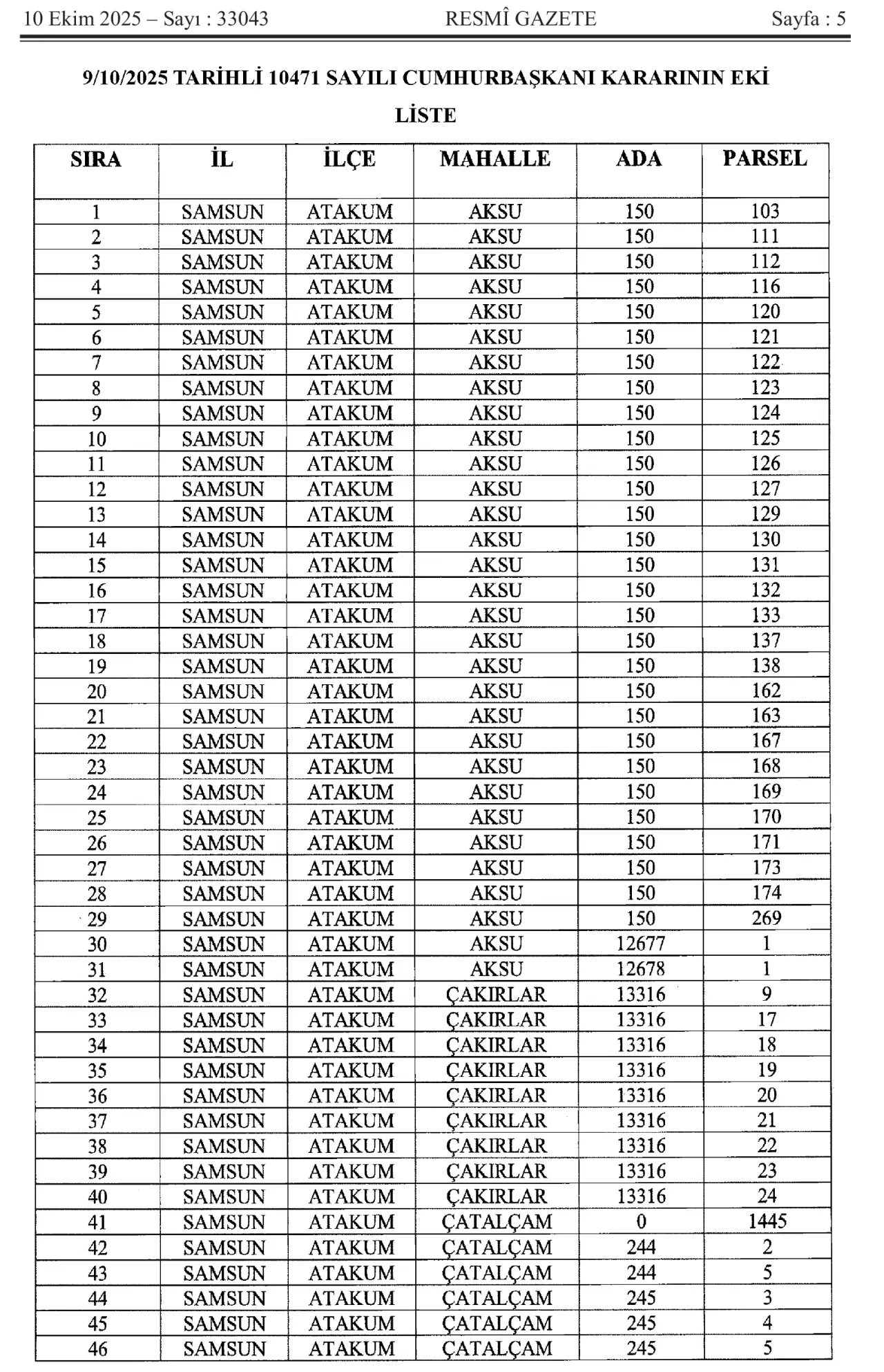
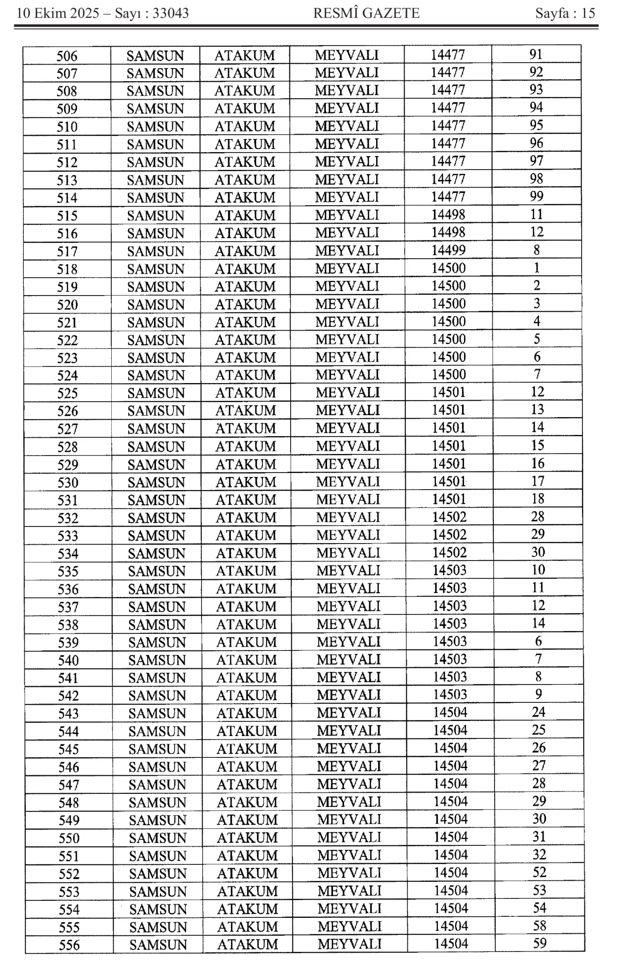
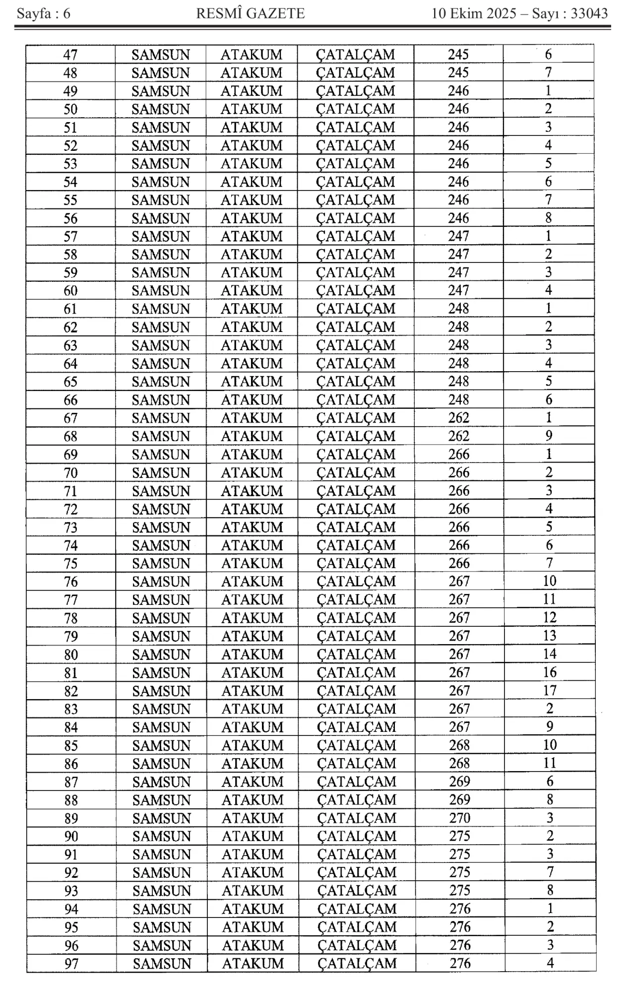
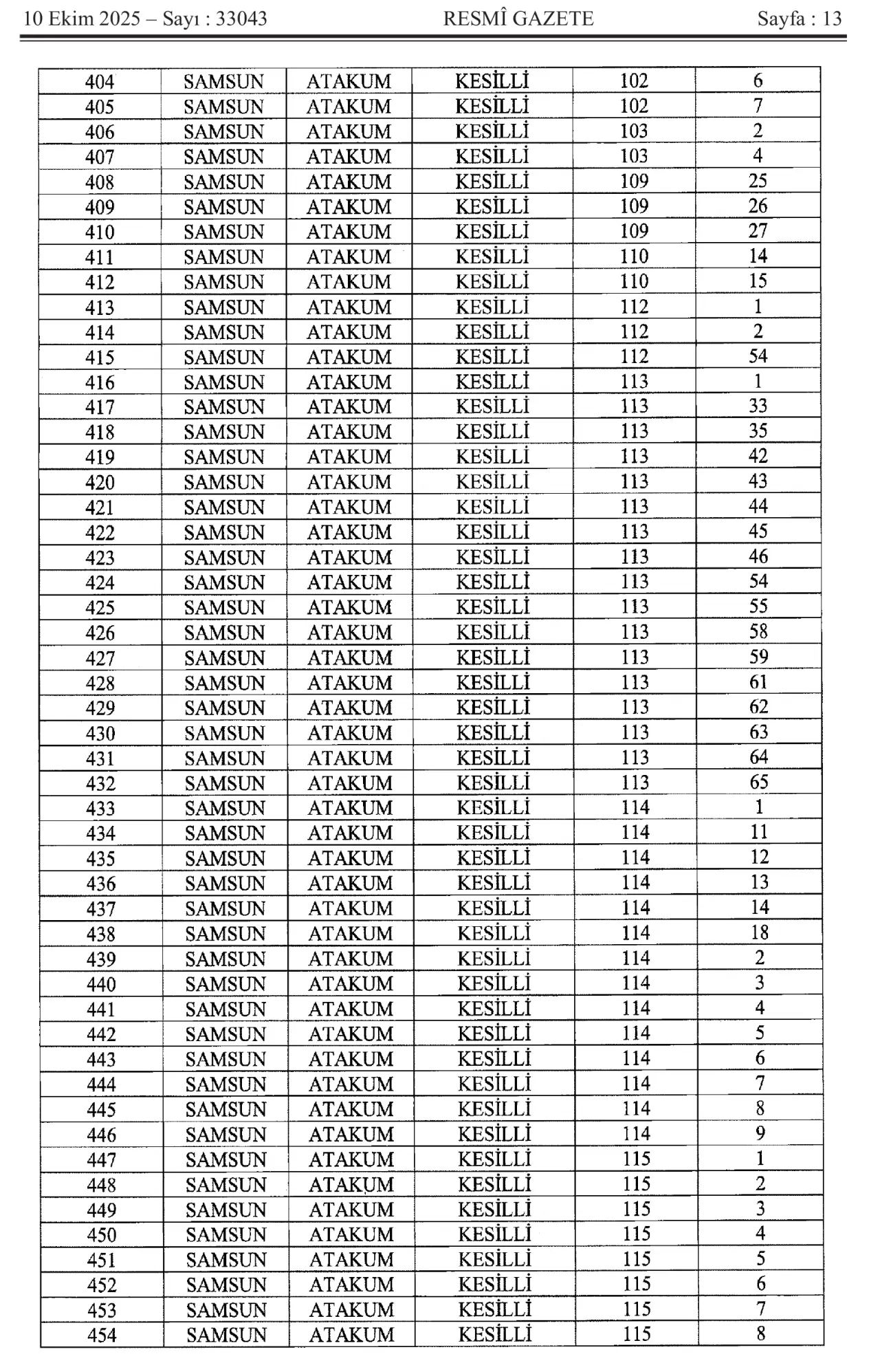
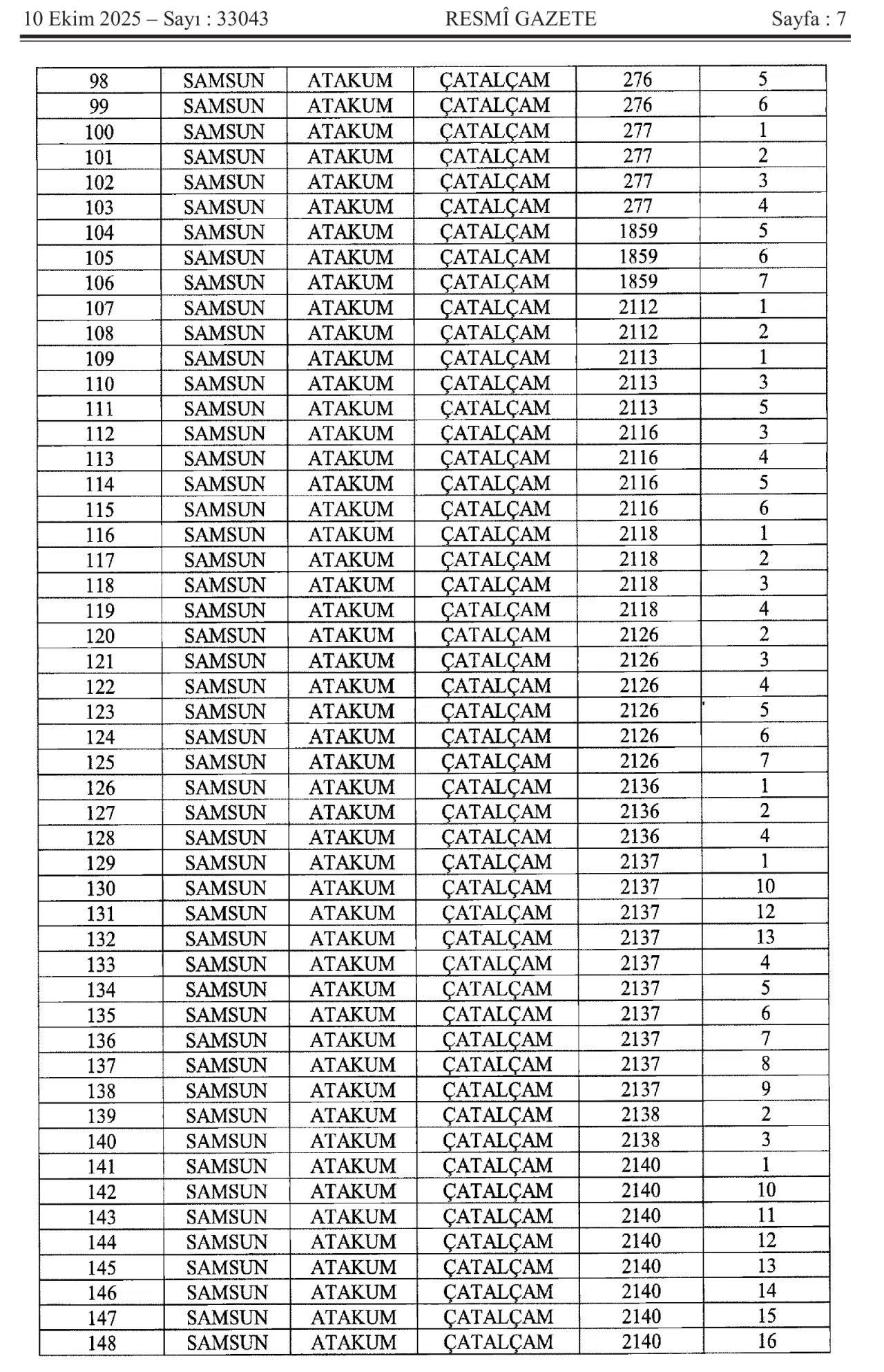
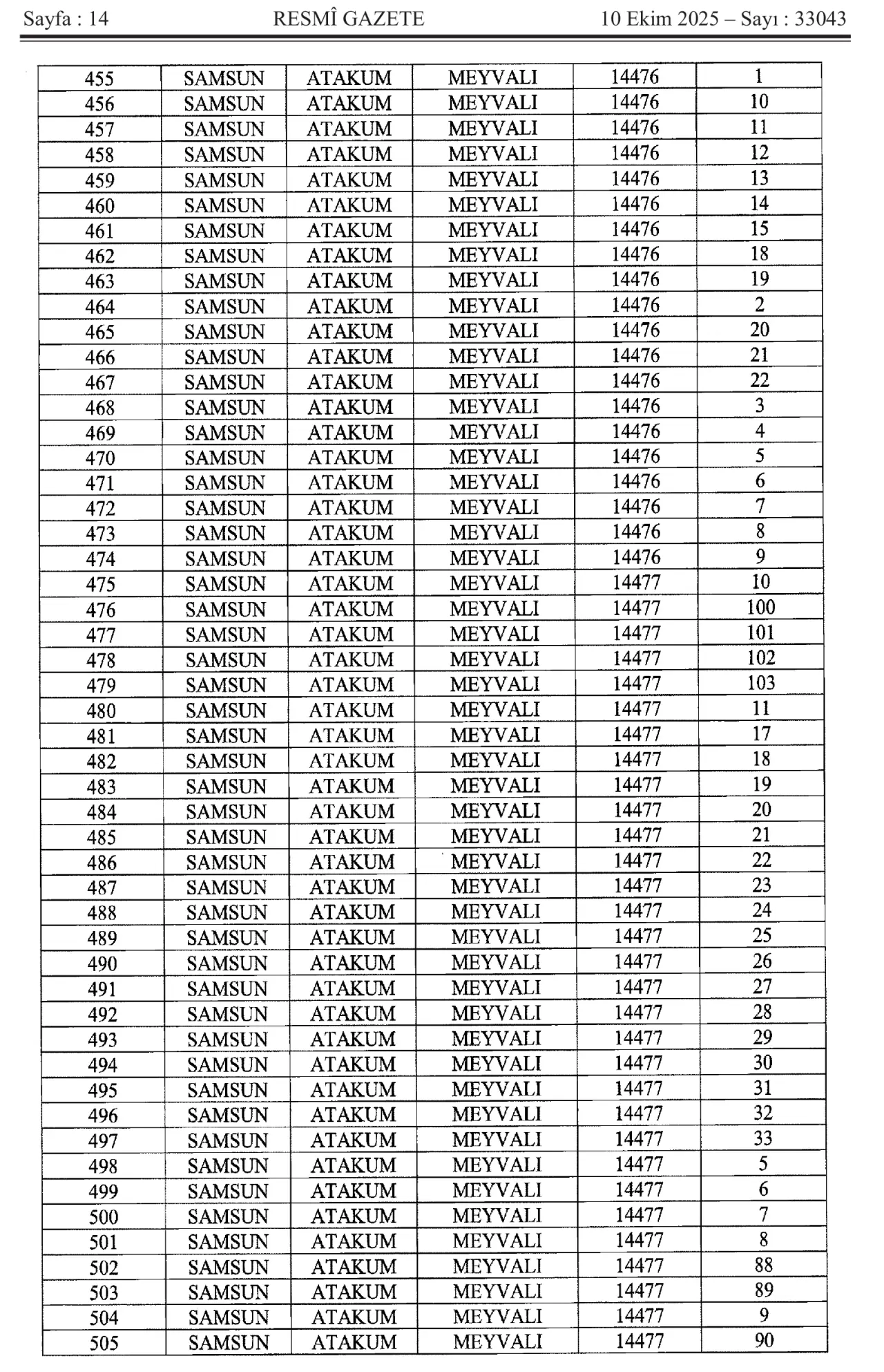
Samsun'un şehir içi trafiğini rahatlatmayı hedefleyen Batı Çevre Yolu Projesi için önemli bir adım atıldı. 10 Ekim 2025 tarihli Resmî Gazete'de yayımlanan Cumhurbaşkanlığı kararıyla, Atakum ilçesindeki 10 mahallede bulunan toplam 887 taşınmazın acele kamulaştırılmasına karar verildi. Bu karar, projenin hızla hayata geçirilmesi ve ulaşım altyapısının güçlendirilmesi amacıyla alındı. Kamulaştırma işlemleri, Samsun Büyükşehir Belediye Başkanlığı tarafından yürütülecek
Cumhurbaşkanı Kararnamesi'ne göre acele kamulaştırılacak bölgelerin ayrıntıları şöyle;
Yorumlar