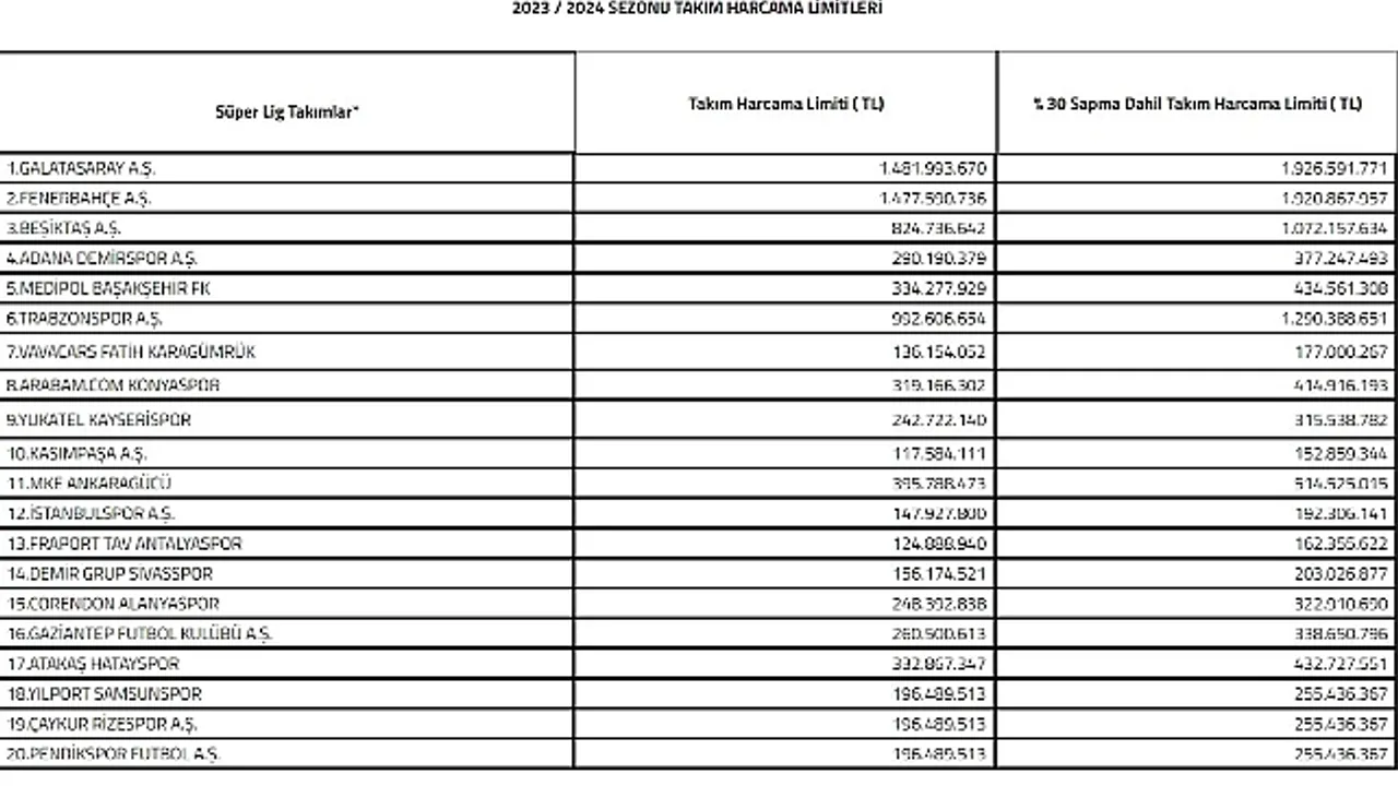
Türkiye Futbol Federasyonu Kulüp Lisans Kurulu, Kulüp Lisans ve Finansal Sürdürülebilirlik Talimatı'nın 121. maddesi kapsamında Süper Lig kulüplerinin 2023-2024 sezonu harcama limitlerini belirledi. Buna göre kurul; geçen sezonu şampiyon olarak tamamlayan Galatasaray için yüzde 30 sapma dahil 1 milyar 926 milyon milyon TL, ikinci Fenerbahçe'ye 1 milyar 920 milyon TL, üçüncü Beşiktaş'a ise 1 milyar 72 milyon TL harcama limiti verdi.
TFF'den konuyla ilgili yapılan açıklamada, "Kulüp Lisans ve Finansal Sürdürülebilirlik Talimatı'nın EK XIII F Maddesinde belirtildiği üzere, T sezonunda Süper Lig'de yer almamış kulüplerin profesyonel futbol takımı harcama limitleri T sezonunu Süper Lig'i 7-15 sıralarında tamamlamış kulüpler için T+1 sezonu için onaylanan Takım Harcama Limitlerinin (harcama tutarı en yüksek ve en düşük takım dahil edilmeyerek) ortalaması alınacaktır. Kulüp Lisans ve Finansal Sürdürülebilirlik Talimatının EK XIII G Maddesinde belirtildiği üzere, kulüpler için belirlenen takım harcama limitleri belirtilen gerekçelerle ve usullerle, 15 Aralık tarihine kadar yapılacak başvurular ve her iki transfer ve tescil döneminin son günü en geç saat 18.00'e kadar yapılacak başvurular üzerine Kulüp Lisans Kurulu tarafından artırılabilir" ifadeleri kullanıldı.
2023-2024 sezonu Süper Lig takım harcama limitleri belirlendi
TFF, Spor Toto Süper Lig'de yer alan kulüplerin 2023-2024 sezonu takım harcama limitlerini açıkladı. Buna göre yüzde 30 sapma dahil en fazla harcama limiti olan takım 1 milyar 926 milyon milyon TL ile Galatasaray oldu
Kaynak: İHA
Yorumlar





