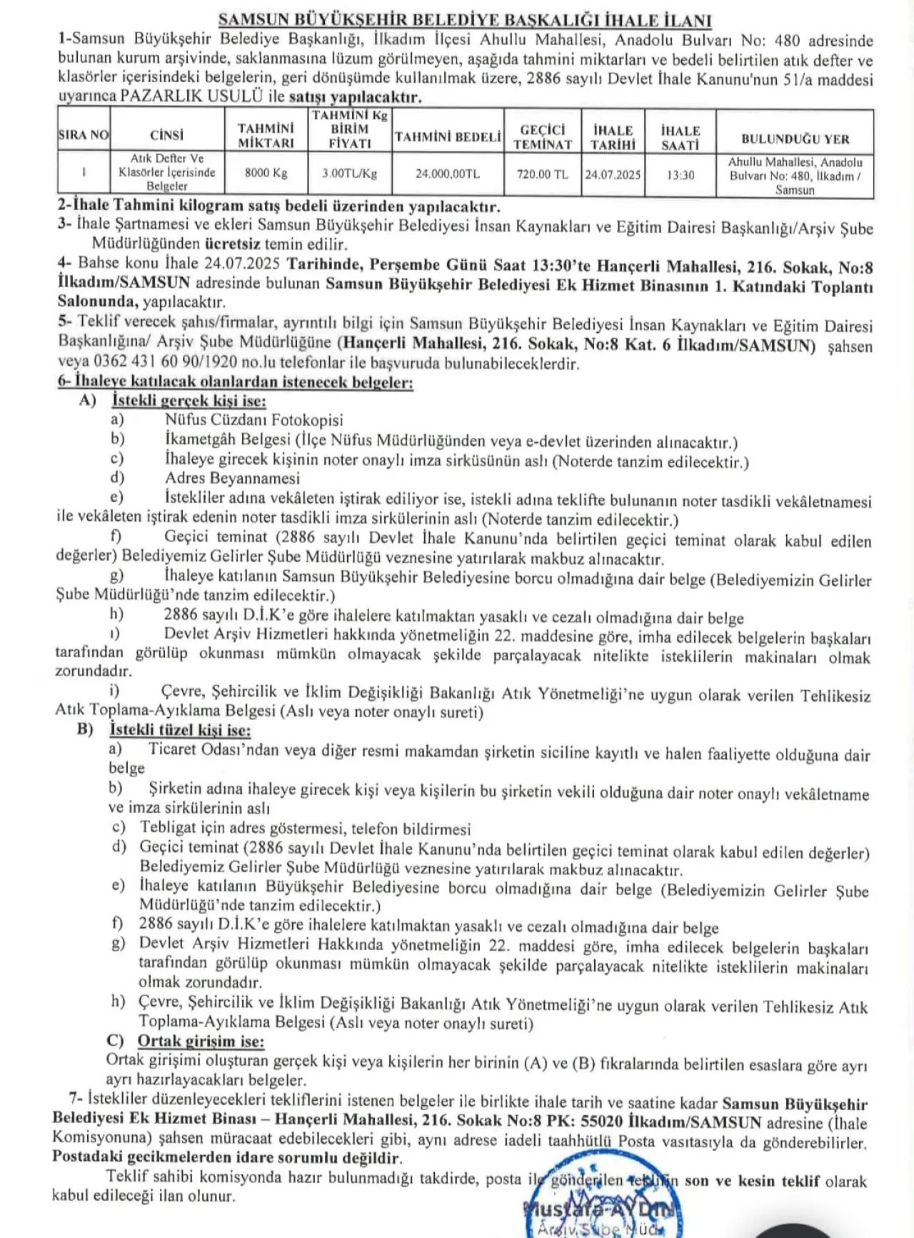
Samsun Büyükşehir Belediyesi, kurum arşivlerinde muhafaza edilmesine gerek görülmeyen ve artık işlevini yitirmiş yaklaşık 8 ton ağırlığındaki atık defter ve klasör içindeki belgeleri geri dönüşüme kazandırmak amacıyla satışa sunuyor. Tahmini bedeli 24 bin TL olarak belirlenen atık evraklar, 2886 sayılı Devlet İhale Kanunu’nun 51/a maddesi uyarınca pazarlık usulü ile ihale edilecek.

İSRAF ÖNLENECEK
Satış ihalesi, 17 Temmuz 2024 Çarşamba günü saat 13.30’da, Samsun Büyükşehir Belediyesi Ek Hizmet Binası'nın 1. katındaki toplantı salonunda düzenlenecek. Büyükşehir Belediyesi, hem arşivlerde yer açmak hem de kağıt israfını önleyerek çevreye katkı sağlamak amacıyla bu tür satışları düzenli olarak gerçekleştiriyor. Satışa çıkarılan belgeler, ilgili mevzuatlar çerçevesinde resmi saklama süresi dolmuş ve kurum açısından artık arşiv değeri taşımayan belgeler olduğu biliniyor. Belgeler, geri dönüşüm tesislerinde kağıt hammaddesi olarak kullanılmak üzere ihale sonrası teslim edilecek.
Daha fazla Samsun Haber için tıklayınız.





